Archive
Transformer Blast Overpressure
The electrical team have a project to upgrade the electrical infrastructure within a communication network data center. Part of the scope of works is to create a new substation on level 10 of the building and install 2 new 1000kVA natural, air cooled transformers in separate fire rated compartments. The actual design and installation of the transformers will be the subject of a future works package.
I have been involved in the project both in the design of the ventilation system for the new substation and in checking the proposed design for compliance with Australian Standard (AS) 2067-2008 Substations and High Voltage Installations Exceeding 1 kV a.c.
The main cause for concern in the AS is that “where transformers are arranged in banks they should be separated by a fire barrier wall designed to withstand impact and blast forces in addition to its fire resistance”. The requirement to mitigate against blast is mentioned a further 2 times in the AS, but no detail as to how to mitigate for blast is provided. What we do know though is that if an explosion on one of these transformers knocked out the other, then the costs to the company in question would be in the millions of dollars per hour. One way or another we need to be certain that we have appropriately mitigated any risk.
Hoping for a quick fix, i trawled the internet for a blast over-pressure calculator. This wasn’t going to be that simple. I could find only one calculator that had been developed by Connell Wagner (Connell Wagner Arc Pressure Calculator), but the internet would only provide me with an image, so none of the calculations hidden behind. Furthermore, Connell Wagner were bought out some time ago and so I cant approach them for advice. I also found two UK Power Networks Engineering Design Standards which suggested the substation structure needed to be designed to withstand a blast over-pressure of 10kPa in a switch-room, and 5kPa in the transformer room.
In this case the transformers and their switch gear are co-located, suggesting a requirement for 10kPa. A quick check with the structures guys revealed that the existing slab on the 10th floor could at best support a dividing wall that can withstand 6kPa when the weight of the transformers was considered. We needed a more precise calculation.
I decided to set about producing my own calculator.
I found several useful documents that I used as the basis for my own calculation. Each of which appeared to base their work on a method developed by someone called Pigler back in 1976. Pigler was a much brighter man than I am but the general principles are as follows:
- The arc releases a certain amount of energy (Q), the proportion of which actually impacts the surrounding air depends upon a factor which accounts for the energy absorbed in melting the conductors and other losses.
- The arc energy causes an expansion of the room air (the first law of thermodynamics).
- That expansion increases the pressure on the structure.
Whilst this sounds simple, there are all sorts of factors to consider, such as the following:
- Is the transformer in a case or enclosure, and how does the expanded gas within that enclosure transition into the room?
- The transfer of energy to the air from the arc will not be uniform, and the subsequent rate of expansion will depend upon time and distance from the arc.
- The release of air from the transformer enclosure will either be through a vent or by a fracture in the enclosure.
- The impact of the arc energy on pressure is dependent upon where the arc occurs and what might obstruct air movement between the arc and the walls.
- Is there a vent provided within the room to release the pressure?
- A pressure distribution within the room will not be even, and there will likely be hot-spots as shown in the image below:

So, whilst Pigler’s method for determining over-pressure requires a PHD in maths and some computer programming skills, i recognized that I didn’t so much need an accurate answer, as an answer that proved that a 6kPa pressure was a worst case scenario. I went back to basics.
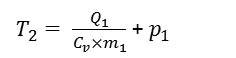
Where:
Then, for a perfect gas:
Where:
Using
These results suggested an increase in pressure of 111 kPa which was a lot more than the 6 kPa I had to play with so I thought i would see what impact a pressure vent would have in the room.
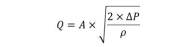
Where:
This suggested that the increase in pressure could be dissipated by a 1m2 vent in 0.17 seconds.
Essentially though, the process above only served to prove that this sort of calculation needed to be done properly, rather than assuming the arc energy influences all the air in the room at once, which it wont.
I called Siemens and persuaded them that they were in the running to supply the transformers. They modeled the parameters I gave them in some computer software and provided the following:
The result here was a pressure peak of 1.58 kPa with a 0.2 m2 vent (provided for by the ventilation duct in this case) which is comfortably acceptable in the substation.
What did I learn?
The chances of an arc fault on a dry transformer are very small, so small that this modelling would not be done for a dry transformer.
The chances of an arc fault on switch gear are also very small (approx 1 in 10,000) but the possibility is enough to model blast over-pressure.
The risk of explosion only really exists where the transformer is enclosed in a case. A sealed case, such as that on an oil cooled transformer allows the build up of pressure in a relatively small space, which can lead to an explosion. In a dry transformer open to the air in the room, the air will heat gradually and there is a much larger mass to absorb the heat. A small vent is sufficient to allow the dissipation of expanded air.
An explosion in an oil cooled transformer carries a high risk of fire. A dry transformer has nothing to burn.
Only use dry transformers inside buildings.
Pigler was a mathematical ninja, even surpassing the intellect of Brendan (I recon). Whilst I am sure even I could significantly improve upon the basic spreadsheet I produced, the array of factors involved in calculating blast over-pressure from an arc fault lead me to recommend that anyone who comes across this in the future just calls Siemens and you’ll get something back in a couple of hours.


and 




