Archive
The Splice of Life
Work continues on site at a fairly decent pace and there is much focus on the project interfaces especially now that the Notice to Proceed (NTP) has been given to the third project on the site. There is talk at present about the selected construction methods for the project I am working on with regards to the erection of the structural steelwork. This will form a part of the central atrium and will ultimately be the architectural feature of the whole building. At present the proposal is that as the steel columns are placed they will be tied from the outside of the building until the relevant roof truss section is placed and the element of the frame becomes self supporting. However due to delays on the adjacent project and subsequent efforts to make up the time they now require the space where the ties were supposed to go. This means that either 1. The ‘ties on the outside’ idea will now have to become a ‘struts on the inside’ idea to accommodate work on the façade of the adjacent project. 2. Shift work. This is still very much a work in progress.
Away from the structural steel side of life a recent check on one of the columns revealed that the lap length was insufficient. Initially this was spotted by comparison to the contract drawings, which have a little table showing the required lengths based on steel type (60,000psi or 75,000psi) and diameter. This makes QC fairly easy. The specified length was 63” however only 54” was measured. The root cause of the issue was a sequencing error on the part of the contractor.
The column in question was a central column which had tie in to two elevated two way slabs at differing levels and the RC beam which forms a part of the monolithic frame of the building. This means lots of steel. The general idea can be seen in the diagram below – which is a general detail with the column rebar drawn in red for clarity. DEFINITELY NTS!
As you can see the lap measurement is intended to be from the base of the lower slab. Because of the ATFP requirements and the amount of steel required in the beams my suggested sequence would be to place the steel cage for the column and construct the beam through it. In this case however the steel for the beam was placed, and then poured with starter bars left protruding for the column cage to tie in with. This reduced length is obviously insufficient and outwith the specification.
The error was immediately highlighted to the Principal and sub- contractor who were informed that they couldn’t close up the formwork and must put a hold on the following day’s pour. This obviously meant knock on delays to follow on slab pours. The only way forwards that I could see was to strip out the pour and start again, at huge cost in time and money or to lengthen the bars by welding, couplers or some other suitable method. I spoke with one of the other Project Engineer on site who checked the measurement and agreed that the error was too far out and we discussed a way forwards to try to minimize the delay. We looked at the lap length specified and he suggested looking to the Codes for a way out – specifically ACI318-11 which is the US version of the BS EN1992:1-1:2004. I broke out into somewhat of a cold sweat at the suggestion and was just about to propose ironing certain parts of my anatomy as an alternative but when he started to take me through the codes and to the relevant section on ‘splices’ I noticed that the code seemed somewhat user friendly – it even has a commentary section.
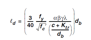
There is still the whole Eurocode-esque requirement to flick back and forth between referenced clauses, however in the e-version of the document these references are hyperlinked, so switching back and forth between clauses is somewhat less of a naus than the frantic wheel scrolling endured on the design exercises. Anyway – the calculation for the splice length is quite simple, just 1.3 x the calculated development length because this sort of splice is a Class ‘B’. In true Code style though, the development length calculation was almost an impenetrable mash of greek symbols.
The commentary provided useful direction and actually most of the factors are taken as 1. So it can be seen that the development length is actually a product of Fy, Fc and bar diameter. In this case though I knew what the actual length was; I knew what strength steel we had and the bar diameter and so I adjusted the strength of the concrete until the calculated length matched the measured. This solution was acceptable, just about, based on restrictions in the design code about the acceptable strengths of concrete that could be used. It was calculated that a 10,000 psi instead of the 60,000 specified concrete would suffice. The proposal was obviously sent to the designer for their approval, which came back fairly promptly to proceed with the higher strength concrete. In the end the pour was only delayed by around two days, and now there are some super strength columns in the structure so everyone was fairly happy.
In other news we have a birds nest in our garden which has become the focus of some evening entertainment. So far the attrition rate of the chicks is around 50%. We are not sure if the two that we found lying dead on our patio were pushed by the other two, or if they just fell but at present king of the ring is a fairly brutal affair. Also, me and Danielle went to the tallest waterfall in Maryland.




